2019考研:高数重点题型之求导方法
2018/4/10 15:58:54
来源: 本站
海天考研老师前面为各位同学介绍过:求极限的各种方法、无穷小与函数的连续性、导数与微分法、求导方法、微积分中存在性问题证明等都是高数重点题型,因此,同学们一定要熟练掌握,以便于能够在考试中能够熟练使用。下面我们来看3种求导方法:
求导方法
1.求导公式及其应用(略)
2.复合函数求导法(略)
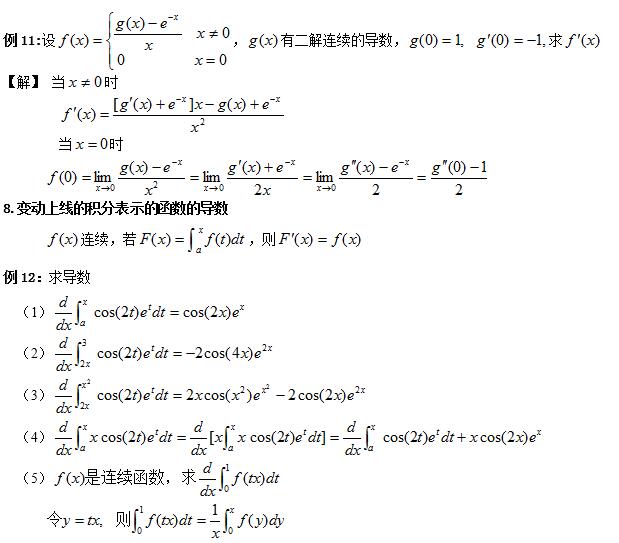
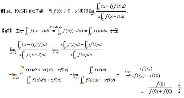
3.隐函数的导数求法





2025考研人数达388w,考研热度依旧火热!如何备战2026考研?哪个考研专业适合自己?在职考生如何备考?考研知识点繁多,择校困难大,和海天考研咨询老师聊一聊。网课面授多项选,专业辅导1对1,全年集训随时学!

热门推荐



